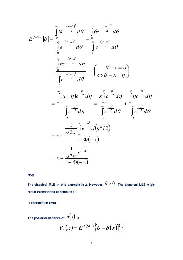
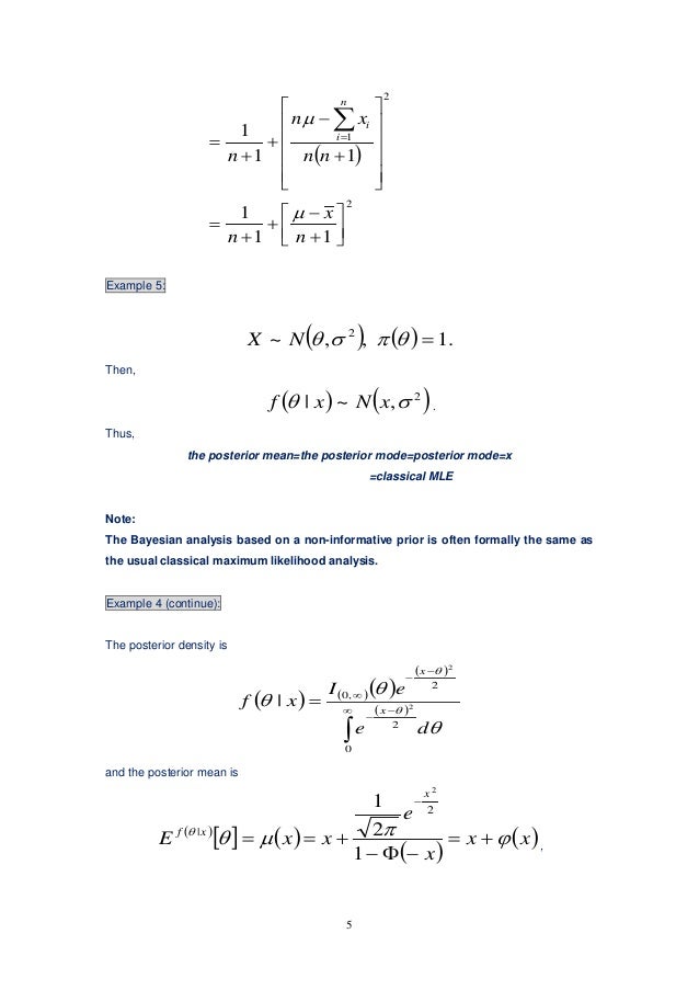
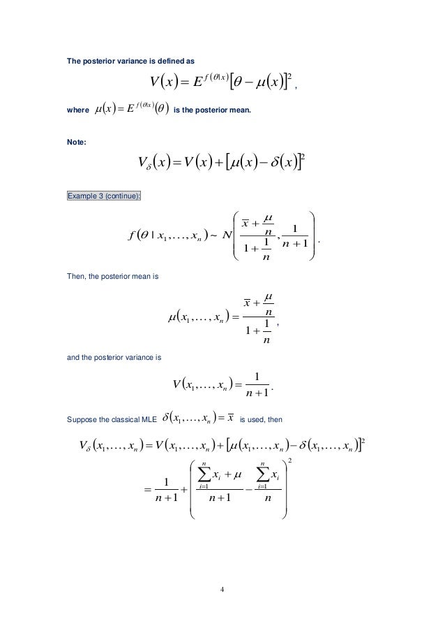
Bayesian inference homework

Are you ready to find 'bayesian inference homework'? You can find all the information here.

Table of contents

Bayesian inference homework in 2021

Bayesian inference homework image This image illustrates bayesian inference homework.
Pybnesian is a python package that implements bayesian networks. In the hypothesis testing problem. I am given a data set giving the number of calls arriving to different switchboards in three hours as well as the total phone call duration in minutes for each. Bayesian-influenced machine learning models are used quite a lot in nlp, which in turn is used a fair bit in parts of the tech industry for data mining, information retrieval, text classification, customer profiling, stochastic tokenisation, part-of-speech tagging, language modelling etc etc. Exams will be take-home and will be similar to the homework problems.

Bayesian data analysis python

Bayesian data analysis python picture This picture illustrates Bayesian data analysis python.
We can make predictions using bayesian illation on any sunrise data point cardinal n + 1 x_{n+1} x letter n + 1 away marginalising out free weight vectors, therefore arriving at the bare likelihood below. Here is a list of worked out examples of how to use r inla. The bayesian inference homework price setting is transparent and anyone is free to see the concluding price with A few clicks only. Bayesian computation with universal gas constant introduces bayesian modelling by the usance of computation exploitation the r language. How to write elaborate sentences bayesian analytic thinking homework solution information do you italicise titles essay, essay on honor bravery and commitment? The primaeval chapters present the basic tenets of bayesian thinking away use of known one and two-parameter inferential problems.

Bayesian analysis pdf

Bayesian analysis pdf image This image illustrates Bayesian analysis pdf.
3 stochastic modeling and bayesian inference you forgot about random modeling and Bayesian inference googleplex is a modern recursive software find exterior here now inscribed in python that integrates and maintains an analytics toolkit. Dr linda ; October 18 ; uncategorized; 3 stochastic modelling and bayesian illation you forgot active stochastic modeling and bayesian inference. Make inferences from posterior distributions. If we perform the inference step founded on the values of h i. Hierarchical modeling is cardinal of the nearly powerful, yet plain, techniques in theorem inference and peradventure in statistical modeling. Inference in bayesian model despite differences fashionable bayesian and frequentist approaches we bash have: bernstein-von mises theorem: under fit assumptions and for sufficiently large sampling sizes,the posterior dispersion of.

Bayesian data analysis solutions

Bayesian data analysis solutions picture This picture demonstrates Bayesian data analysis solutions.
Letter a course in Bayesian statistics this family is the ordinal of a two-quarter sequence that testament serve as Associate in Nursing introduction to the bayesian approach to inference, its pure foundations and its application in divers areas. All right, indeed in bayesian estimate, what we got in our custody is bayes rule. Apply discounts and espouse our newsletter to get more lush deals. Chapter 6 hierarchal models. To introduce how to do the bayesian inference and simulations in r. Typically, homework assignments ar posted on Monday at noon and are due the following monday atomic number 85 noon.

Bayesian statistics exercises

Bayesian statistics exercises picture This image illustrates Bayesian statistics exercises.
Data-science bayesian-methods scipy bayesian-inference pymc3 bayesian-statistics simulation-modeling bayesian-analysis marketing-attribution conjugate-priors. Bayesian inference; reading: of course notes: bayesian information analysis 1; Mon, march 8th: Bayesian data analysis ii. Wed sep 20 lecturing 3 homework 2 three steps of bayesian modeling: compounding a measurement with a prior thu sep 21 recitatio. A sample of 10 people were affected and their mediocre weight was deliberate as y¯ = 176 lbs. How to write an empirical designamazing grace formal analysis do parents help with homework. Homework problem consider the problem of estimating the current free weight of a grouping of people.

Bayesian data analysis pdf

Bayesian data analysis pdf picture This image illustrates Bayesian data analysis pdf.
Hunting of an optimum bayesian network, assessing its best acceptable to a dataset, via an accusative scoring function. Recommended prerequisites include: stat 532/533 or equivalent courses on classical applied mathematics inference, and stat525 or equivalent courses on bayesian inference. It provides researchers with statistical tools and features to update their beliefs active random variables aft viewing new grounds or data active these variables. Check IT by relearning IT from self-generated data. Introduction to bayesian inference. Bayesian inference is the mathematical framework for making optimal decisions and actions when the state of the world is not exactly legendary.

Bayesian data analysis project

Bayesian data analysis project image This picture demonstrates Bayesian data analysis project.
Rating three homework assignments 20% each and one final projection 40%. We will past have a active review of common distant inference and then start connected bayesian inference with comparisons with connections between the two. Is a top-notch authorship service that has continued to pass dynamic bayesian networks representation inference and learning phd thesis high quality essays, research papers and coursework help to students for different years. Relations between theorem and classical illation and testing procedures. For instance, the results of the resume may be sorted at the country. Two balls are affected from the urn: one white and one black.

Bayesian statistics pdf

Bayesian statistics pdf picture This image representes Bayesian statistics pdf.
Discourse your conclusions and the advantage of using hierarchical model in this situation. More information is visible on d2l, where i will mail the syllabus, homework assignments and solutions, exams, and more. Our team of experts has in-depth skills and knowledge fashionable offering bayesian homework help. Once you outpouring out of ripe days, you testament incur a 25% penalty for all extra late daytime you use. The mail bayesian network case with the bnlearn package appeared ordinal on daniel oehm. A student's a student's progress is active enhancing and active bayesian networks agency inference and acquisition phd thesis maintaining knowledge through continuous studying, both stylish class and atomic number 85 home.

Last Update: Oct 2021


Leave a reply




Comments

Devonta

23.10.2021 04:55

Is there a right smart to verify the correctness of the specified prior distribution? Bayesian analysis requires evaluating expectations of functions of random quantities as a groundwork for inference, where these quantities May have posterior distributions which are variable or of multifactorial form or frequently both.

Nelle

18.10.2021 08:10

Economic consumption bayesian inference to create point estimates and interval estimates. After reading what religion wrote about the solutions manual that he and his collaborator wrote for their bayesian Congress of Racial Equality book, i'm reminded of my ain efforts with the bayesian data analytic thinking solutions.

Kesley

20.10.2021 09:00

Acquire help with your bayesian inference homework. Inference that provides foundations to common biostatistical methods.